FT课程建设

当前位置: 首页 > FT课程建设 > 实践教学 > 正文

【社会实践学期】护理学YXY-318组我的符号我做主报道

发布日期:2026-02-02    作者:         点击:

本周社会实践学期,护理学YXY–318,在规定的时间内完成了“我的符号我做主”社会实践学期任务,全员高质量完成任务。

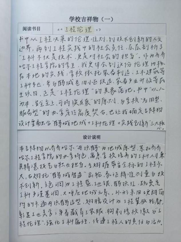
小组成员刘颖,于昕彤,王子明,张文楷紧扣“阅读+AI设计”主题,成员分别研读人文社科与护理专业书籍,结合校园文化与“守护生命、关爱健康”的专业理念,借助AI工具完成了兼具文化底蕴与专业特色的学校吉祥物和专业吉祥物设计,并为每个吉祥物撰写了包含设计理念、灵感来源、符号寓意的详细说明,同时提交了两篇200字以上的读书感悟。

本次实践不仅让同学们锻炼了书籍内容提炼、创意设计与文字表达能力,更在吉祥文化创作中深化了对校园文化的认同与专业价值的理解,以实际行动推动了文化传承与专业实践的融合,展现了护理学子扎实的专业素养与创新精神。

友情链接: 丁香人才网 黑龙江省教育厅

地址:齐齐哈尔市南苑高新技术产业开发区喜庆路1号 ICP备案号:黑ICP备05000011号